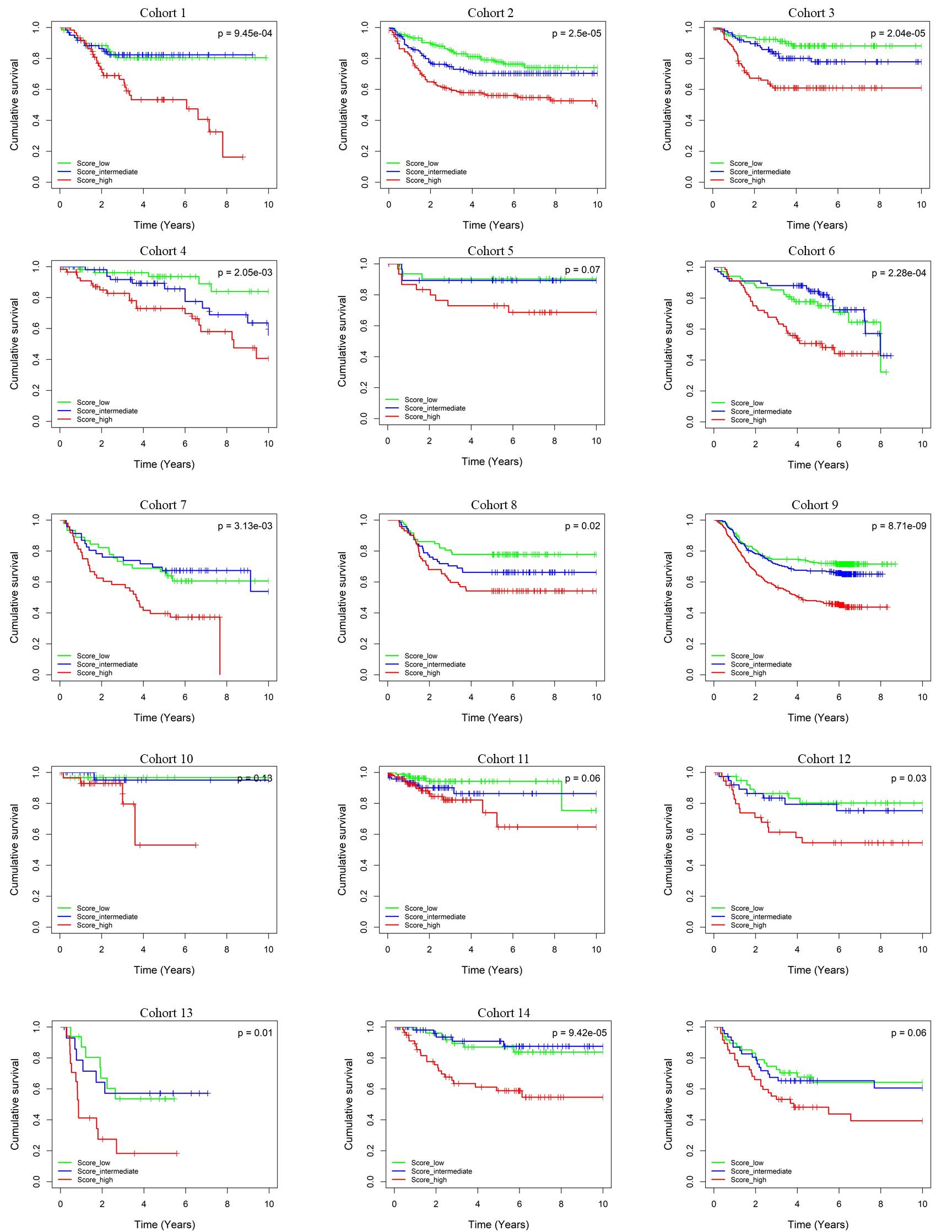
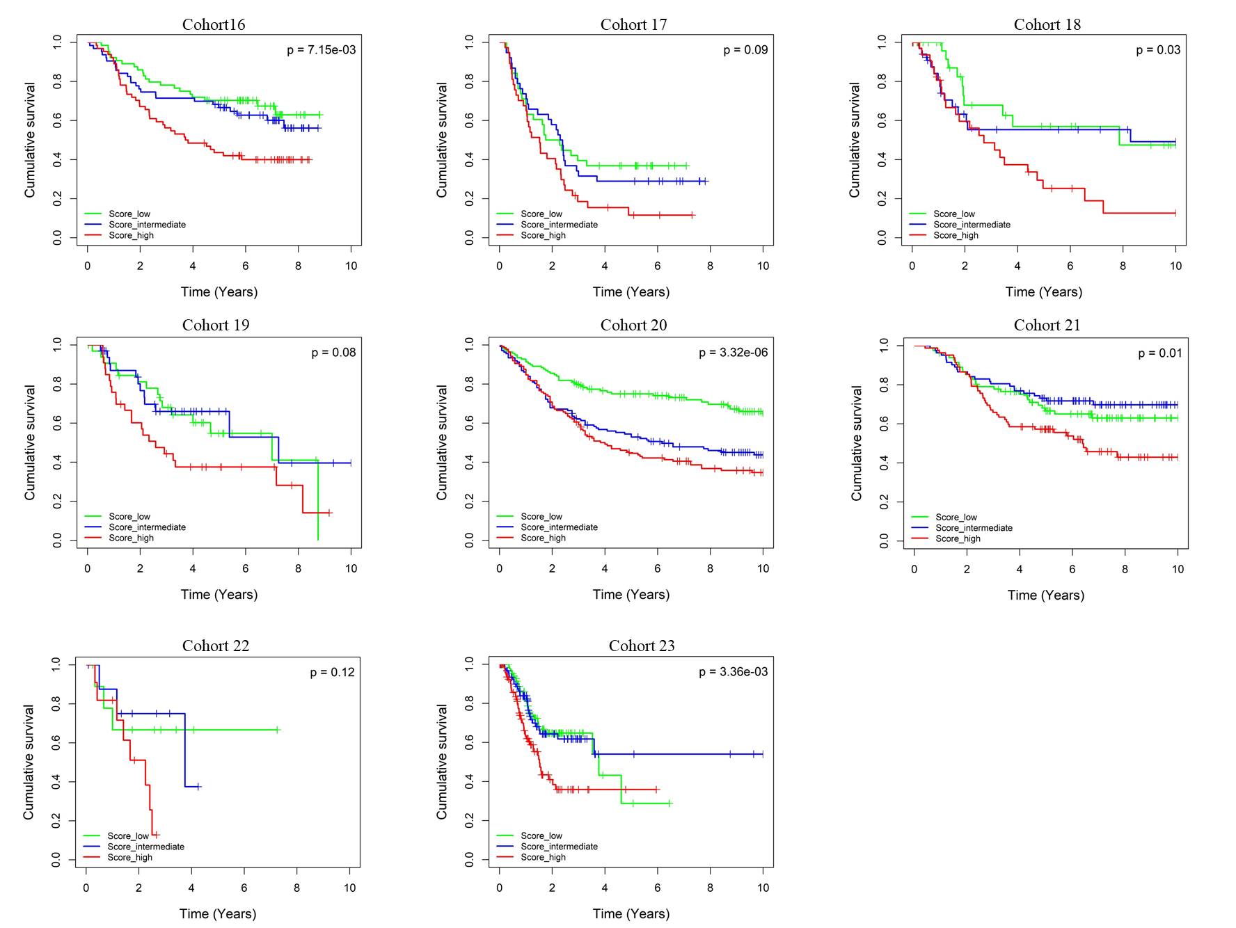
多基因标签Blue_CRC 基于 3 个结直肠癌训练数据集构建,并在另 20 个独立癌症样本数据集中验证(n = 6,067)。Cox 回归分析表明,无论在所有分期癌症(图 1)还是 2 期和 3 期癌症(图 2)中,该多基因标签均能很好地预测复发生存率。Kaplan-Meier 分析进一步验证了该多基因标签在 2 期和 3 期结直肠癌症中的预测能力(图 3)。.
图 1 多基因标签Blue_CRC 的预后评分与各期癌症生存的关联.
风险比(HR)以森林图形式展示。共分析了 23 个独立癌症样本数据集(n = 6,067)。在部分数据集中,肿瘤全部或主要为 2 期和 3 期。总体效应通过随机效应(RE)模型计算。


图 2 Blue_CRC 的预后评分与 2 期和 3 期癌症生存的关联
此处仅分析 2 期和 3 期癌症,风险比(HR)以森林图形式展示。


图 3 BlueCRC的预后评分与 2 期和 3 期癌症复发风险关联的 Kaplan-Meier 分析
此处仅分析 2 期和 3 期癌症。每个 Kaplan-Meier 曲线图代表一个独立数据集的分析结果。

