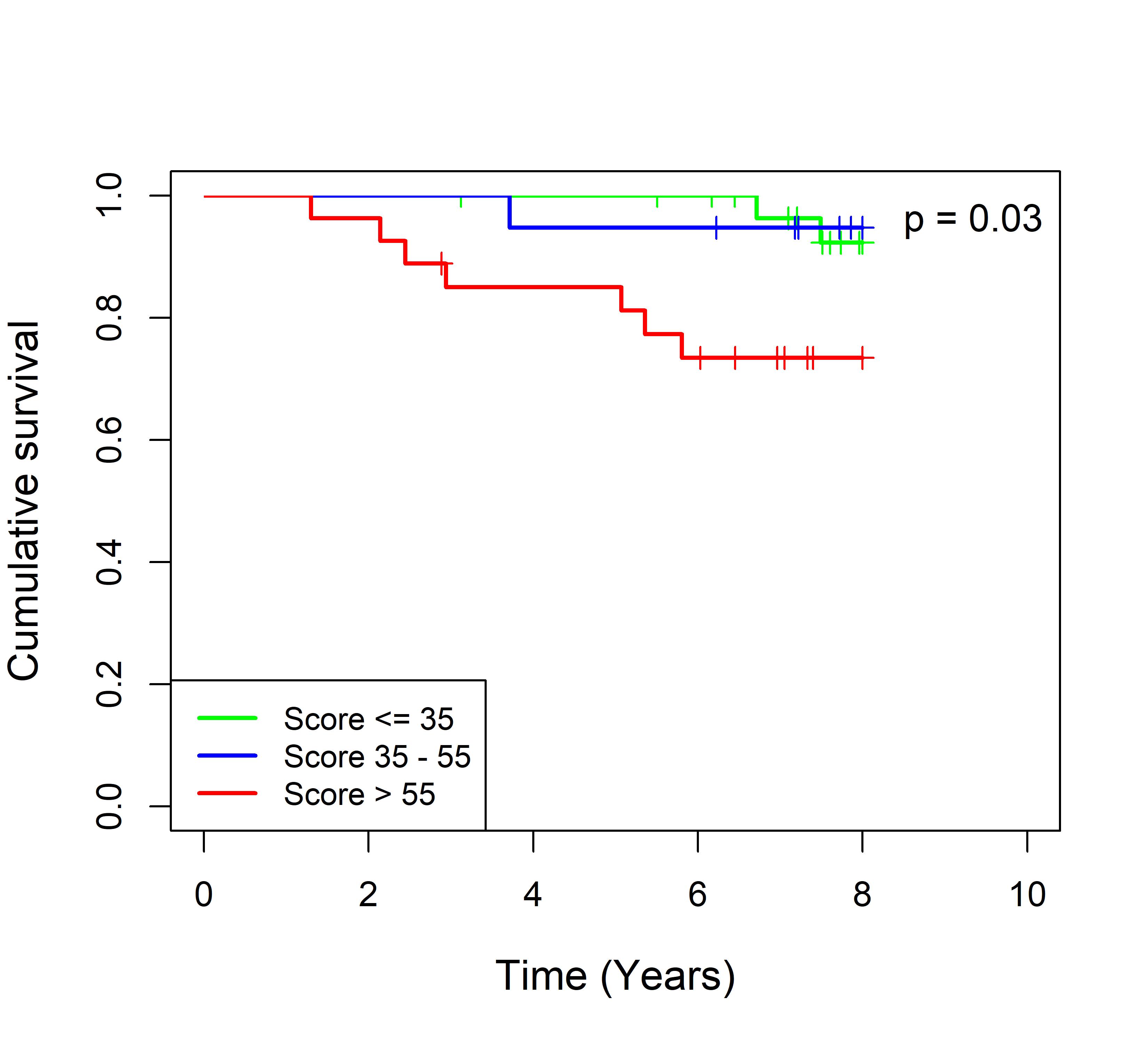
图 8. 多基因标签 Blue_panBC 预后评分与 31 个基于 TMO 的 ER 阳性乳腺癌队列患者生存的关联。每个 Kaplan-Meier 曲线图代表一个独立队列的分析结果。我们开发了一种算法,可独立于队列整体数据计算多基因标签 Blue_panBC 的预后评分,从而实现不同 TMO 芯片平台间乳腺癌样本评分的直接比较,并可对新增个体样本计算该标签的预后评分。所有样本根据预后评分分为三组:低(≤35)、中(35–55)和高(>55)。随后对这些组别的累积生存率进行比较。33 个非 TMO ER 阳性乳腺癌队列的数据见图 9。






























