Skip to main content
Skip to navigation
蓝水生物科技
简介
研究与开发
合作与伙伴
职业发展
联络我们
蓝水生物科技
简介
研究与开发
合作与伙伴
职业发展
联络我们
More
简介
研究与开发
合作与伙伴
职业发展
联络我们
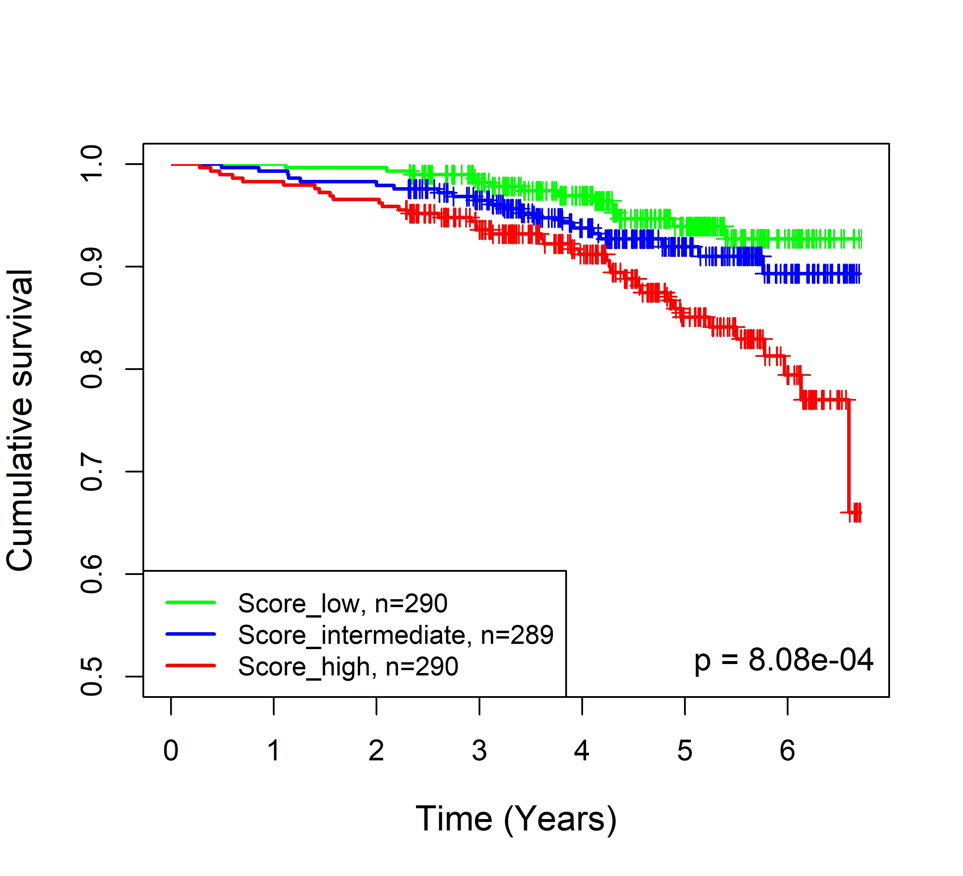
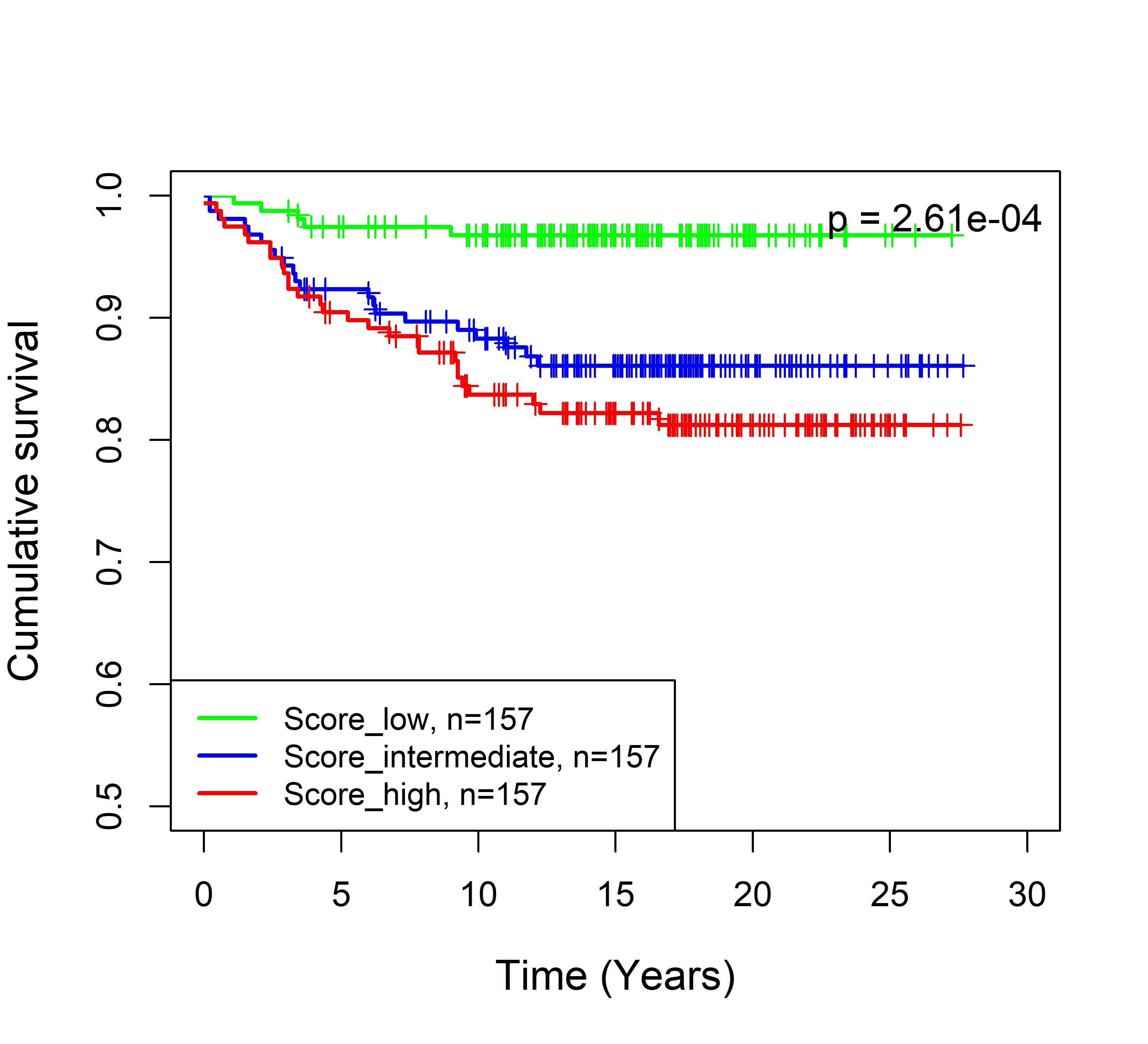
图 9. 多基因标签 Blue_panBC 预后评分与非 TMO 芯片 ER 阳性乳腺癌队列患者生存的关联。每个 Kaplan-Meier 曲线图代表一个独立队列的分析结果。由于目前无法直接比较这些非 TMO 芯片基因表达谱间的预后评分,在每个队列内,样本根据预后评分的三分位数进行分组(高:> 2/3 分位数;低:≤ 1/3 分位数;中:≤ 2/3 分位数且 > 1/3 分位数)。
Previous
Next